채권을 거래하는 사람들이 보는 단 하나의 지표가 있다면 수익률 곡선이다. 채권 x년물 수익률, y년물 수익률 하는 말들은 다 수익률 곡선을 보고 하는 말이다. 오늘은 수익률 곡선에 대해서 알아보겠다.
0. 채권과 채권 가격평가에 대한 간략한(?) 설명
채권은 흔히 Fixed Income Instrument(고정 수입 상품)라고 불린다. 채무불이행 위험이 없다는 가정(non-defaultable) 하에, 채권으로부터 얻게 되는 현금은 발행 시점에 완전하게 결정된다. 만기일에 받게 되는 원금과, 원금에 대한 쿠폰의 합이다. 은행과 대출계약을 맺는 것은 기술적으로는 내 이름으로 채권을 발행된 채권을 은행이 사는 것과 동일하다(마이너스 통장은 American style callable이라고 하는 조금 더 복잡한 계약(그리고 모델링 하기엔 몇 배 더 복잡한)이긴 하지만, 큰 줄거리는 동일하다).
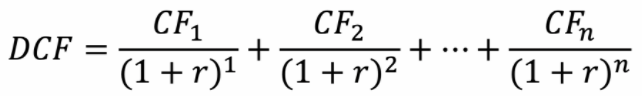
채권 현금흐름 = (원금) + Σ(쿠폰)
이렇듯 채권을 보유함으로써 얻을 현금은 고정돼있지만, 채권의 가격은 매일 변한다. 미래의 현금에 대한 할인율(=discount rate), 즉 수익률(=Yield)이 달라지기 때문이다. 왜 미래의 현금을 할인해야 할까? 같은 액수의 돈이라면, 지금 갖고 있는게 1년 뒤에 받을 것보다는 낫기 때문이다. 그러니 '지금' 돈을 빌리려면 '미래'에 갚을 때는 지금보다는 조금 더 줘야 한다. 돈을 받을 미래가 멀 수록 지금의 현금은 더 가치가 크다고, 다시말해 할인율이 높다고 할 수 있다.
채권 가격 평가에는 흔히 DCF(Discounted Cash Flow, 현금 할인 모델)라고 불리는 방법이 쓰인다. 별로 어려운 내용은 아니고, 원금, 쿠폰, 수익률 세 가지를 알고 있을 때 채권의 현재가치는 할인된 현금흐름의 (등비수열)합으로 계산한다는 내용이다. 우리나라는 고등학교 교육과정이 상당히 자주 바뀌는데, 예전에는 복리 계산으로 교과과정에 포함돼 있던 내용과 유사하다.

문제를 단순화 하기 위해 쿠폰이 없는 채권(Zero Coupon Bond, ZCB)를 생각해보자. 위의 식에서 CF_n은 채권의 원금(혹은 액면가)이고, 나머지 CF는 다 0이다. 다음엔 이걸 계산할 수 있는 코드도 하나 짜서 포스팅하면 될것같다.

받을 금액이 처음부터 액면가로 정해져 있으니, 할인율 r이 크다는 것은 미래의 10000원을 지금 사면 훨씬 더 싸게 살 수 있다는 말이 된다. 그리고 많이 할인해서 살수록(9000원 할인가에 사서 만기에 10000원 받기 vs 8000원 할인가에 사서 만기에 10000원 받기) 수익률도 높다. 한마디로 채권의 수익률이 높아지면 가격이 낮아지고, 수익률이 낮아지면 가격이 높아진다. 그래서 할인율과 수익률은 같은 말이다. 앞으로는 수익률이라는 용어를 쓰는 것이 좀 더 적절할 것 같다.
수익률은 채권 시장에서 반복적인 거래를 통해 결정된다. 그런 면에서 보면 사실은 수익률이 가격을 결정한다는 말 보다는 가격을 통해서 수익률을 역산해낸다(이건 손으로 하기에는 어려운 일이다)는 말이 좀 더 선후관계를 잘 설명하는 표현이다.
1. Yield Curve는 무엇인가?
이제 Yield Curve에 대해 설명할 준비는 끝난 것 같다. 수익률 y는 T, 즉 만기에 대한 함수로 가정된다. 지금 시점으로부터 만기가 멀면 멀수록 채권의 유효기간 동안 나쁜 사건을 만날 가능성이 크다. 때문에 조금 더 위험하다고 판단을 받는 장기채권은 할인율을 좀 더 쳐줘야 한다. 즉, 같은 기간동안 보유하더라도 장기채권의 수익률이 더 높다(수익률이 절대로 안 변한해서 채권의 가격이 안 변한다는 전제 하에).
그래서 일반적인 수익률 곡선의 모양은 다음과 같다.

가끔 '장단기 금리' 역전이라는 표현이 뉴스에서 등장하는 시기가 있다. 리스크가 현실화 되는 여러가지 내러티브들이 있지만, 대부분의 시나리오는 유동현금이 부족해지는 결과를 가져온다. 그러면 단기대출 수요가 급증하기 때문에 단기채의 수익률이 크게 상승하면서 수익률 곡선이 아래와 같이 '뒤집힌다(inverted)'.

위의 차트처럼 극단적으로 단기수익률이 떠버리는 상황은 거의 오지 않는다. 20% 짜리 단기 수익률이면 사면 그다음 해에 액면금액을 받으면 20% 수익이 난다는 것이기 때문에 투자자들, 특히 아비트리저(arbitrageur, 차익거래꾼)이 가만 있지 않을 것이기 때문이다. 채권이나 통화(!)가 중간에 부도날 위험이 큰 아르헨티나 같은 곳은 예외겠지만.. 하여간 큰 수익률에는 큰 위험이 따른다.

2. 왜 중요한가?
모든 사람이 사용하는 지표라서... 는 진담이 약간 섞인 농담이다. 수익률이 중요한 가장 큰 이유는, 사실상 모든 채권투자자들이 쓰고 있는 DCF모델 하에서 기발행 채권의 가격을 변하게 하는 유일한 변수라서 그렇다. 앞서 언급했듯이 투자자가 접하는 채권의 90%는 정기적인 고정쿠폰과 발행 할 때 정해진 액면금을 지급한다. 다시 말해, 일단 발행되고 나면 할인에 의한 효과를 제외한 단순 현금흐름은 채무불이행 사태가 아닌 이상 변할 일이 없다. 채권가격 평가에 있어 남은 단 하나의 문제는 과거의 현금이 지금의 현금에 비해 얼마나 가치를 절하당할 것인가를 가리키는 수익률 뿐이다. 그렇기 때문에 모든 채권 투자자들이 수익률 곡선을(만?) 쳐다보고 있는 것이다.

3. 어디서 볼 수 있는가?
적당히 Yield Curve라고 검색하면 바로 볼 수 있는 웹페이지가 여러 개 있다.
아래의 웹페이지는 미국의 재무부에서 매일 제공하는 만기 별 국채수익률이다.
www.treasury.gov/resource-center/data-chart-center/interest-rates/pages/textview.aspx?data=yield
Daily Treasury Yield Curve Rates
These data are also available in XML format by clicking on the XML icon. The schema for the XML is available in XSD format by clicking on the XSD icon. Date1 mo2 mo3 mo6 mo1 yr2 yr3 yr5 yr7 yr10 yr20 yr30 yr05/03/210.020.020.040.040.060.160.330.841.291.632
www.treasury.gov
인베스팅 닷컴에서는 국가별로 정부채권의 수익률을 제공한다. 그래프로 돼있어서 보기 좋으니 가끔 들어가서 재미로 보면 된다. 수익률 곡선이 기간에 따라 전체적으로 들어졌다 내려졌다 하는 것들을 구경할 수 있다는 점도 마음에 든다. 수익률이 마음에 들면 사면 되고, 마음에 너무 안들면 팔면 되고.. 예측은 내 능력 밖이라고 생각하는게 편하다.
kr.investing.com/rates-bonds/usa-government-bonds
미국 정부 채권 | 미국 정부 채권 수익율
미국 의 매 채권에 대한 수익률,매일 최고가와 최저가,그리고 변동폭을 포함한 정부 채권 수익률에 대한 현재 데이터를 파악하십시오.
kr.investing.com
kr.investing.com/rates-bonds/south-korea-government-bonds
한국 정부 채권 | 한국 정부 채권 수익율
한국 의 매 채권에 대한 수익률,매일 최고가와 최저가,그리고 변동폭을 포함한 정부 채권 수익률에 대한 현재 데이터를 파악하십시오.
kr.investing.com
kr.investing.com/rates-bonds/japan-government-bonds
일본 정부 채권 | 일본 정부 채권 수익율
일본 의 매 채권에 대한 수익률,매일 최고가와 최저가,그리고 변동폭을 포함한 정부 채권 수익률에 대한 현재 데이터를 파악하십시오.
kr.investing.com
4. YCC(Yield Curve Control)?
글자 그대로 Yield Curve의 모양을 조절한다는 것이다. 연준과 재무부가 힘을 합쳐서 채권의 장기물과 단기물 발행량(공급)을 조절하여 수익률 곡선의 모양을 어느정도는 원하는 방식으로 손 볼 수 있다. 연준이 기준금리를 올리고 내리는 것도 당연히 YCC에 활용되는데, 기준금리의 변동은 주로 단기수익률에 영향을 크게 준다. 합법적 시세조작이랄까(...).
5. Yield Curve의 한계
(1) Single Discount Rate
이는 DCF 식에서 발생하는 문제다. 수익률을 지속적으로 바뀌기 때문에, 매수 또는 매도하는 쪽인 Yield Curve를 참고하여 DCF에 적용할 수익률 y를 계산하는 사람이 '정해줘야' 한다. 매수하는 쪽은 수익률이 높은 쪽으로 계산하려고(싸게 사려고) 할 것이고, 매도하려는 쪽은 반대(비싸게 팔려고)를 원할 것이다. 이 문제는 본질적으로는 수익률이 시간에 따라 지속적으로 변하기 때문에 생기는 문제이므로 크게 개선할 수 있는 성질의 것은 아닌 것 같다.
특정 만기에 대한 현재(수익률은 항상 현재 수익률이고, 따라서 수익률 곡선이 말해주는 것은 현재 뿐)가 아닌 미래의 수익률을 추정하는 데는 확률미분방정식(Stochastic Differential Equation, SDE) 모델들이 개발돼있다. 해석적으로 풀 수 있는(Analytically Solvable) 것도 있고, 아닌 것들도 있다. 해석적으로 불가해인 모델들은 몬테카를로 시뮬레이션으로 적당한 값을 구한다. 구체적인 모델까지 들어가면 복잡하니 설명은 생략(정 궁금하면 Vasicek, CIR, HJM, 또는 Hull-White Model 같은걸 찾아보면 된다).
(2) Single Curve vs Multiple Curve
07년까지만 해도 은행에서 사용되는 모든 모델들은 딱 한 종류의 금리를 무위험 수익률로 가정하고 개발되었다. 이게 그 유명한 리보(Libor) 금리다. 그런 이유로 이 시절의 가격평가 모델들을 Single Curve System 내지는 Single curve Framework라고 한다. 서브프라임 모기지 때 대부분의 금융기관들이 막대한 대미지를 입었던 이유 중 하나가 Single curve Framework를 사용했기 때문이었다.
https://2ndflight.tistory.com/52
리보(Libor)에 대해 알아보자
Libor는 London InterBank Offered Rate의 준말이다. 적당히 번역하면 "런던 은행 간 대출 금리" 정도 된다. 런던의 주요은행들(이를테면 Barclays라든가..) 간 단기자금 조달(대출)에 활용되는 연환산(annual)
2ndflight.tistory.com
무위험 수익률을 논할 때 Libor 외에도 OIS(Overnight Index Swap)라고 하는 수익률이 있는데, 리보와 OIS에는 큰 차이가 있었다. 07년 이전에는 Libor와 OIS의 차이가 크게 두드러지지 않다가 서브프라임 때 담보물들이 대규모 부도가 나버리는 바람에 두 수익률이 극적인 차이를 만들어내면서 전세계를 유동성 위기로 몰아넣었다. 지금은 Multiple Curve Framework를 활용한다는 것 같다. 구체적인 사정은 훗날 다룰 기회가 있을 것 같다.
다음에는 듀레이션과 볼록도(convexity)에 대해서 포스팅하도록 하겠다.
'투자리뷰' 카테고리의 다른 글
| 법인세 동맹이 (너무나) 위험한 발상인 이유 (0) | 2021.07.29 |
|---|---|
| 인플레이션이 일시적이지 않을 거라고 생각하는 이유 (0) | 2021.07.20 |
| 증세는 주식투자에 어떤 영향을 미칠까? (0) | 2021.05.13 |
| 일본 2021 파생상품 만기일 (1) | 2021.05.11 |
| 미국 2021 파생상품 만기일 (0) | 2021.05.10 |
댓글