지난 포스팅에서는 채권 가격 평가에 있어서 가장 중요한 지표인 수익률 곡선에 대해 알아보았다.
https://2ndflight.tistory.com/78
수익률 곡선(Yield Curve), YCC(Yield Curve Control)
채권을 거래하는 사람들이 보는 단 하나의 지표가 있다면 수익률 곡선이다. 채권 x년물 수익률, y년물 수익률 하는 말들은 다 수익률 곡선을 보고 하는 말이다. 오늘은 수익률 곡선에 대해서 알
2ndflight.tistory.com
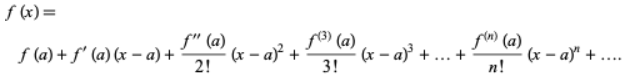
오늘은 채권을 매매할 때 보게 될 수익률로부터 파생된 지표인 듀레이션(duration)과 볼록도(convexity)에 대해 알아보도록 하겠다. 수식을 좀 다뤄야한다. 대학 수학의 추억을 떠올릴 겸 테일러 전개를 써보면 다음과 같다.

다행히도(?) 우리가 다룰 함수인 채권 가격 평가 모델은 해석함수(analytical function)이기 때문에 테일러 전개가 본함수로 수렴하지 않으면 어떻게 하나 같은 걱정은 안 해도 된다(해석학 뽕에 취한다). 사실 응용분야에서 해석함수가 아닌 함수를 다룰 일이 얼마나 있겠느냐마는... 더 행복한(?) 사실은 오늘 다룰 내용은 2차항 전개까지만 알면 된다는 사실이다.
듀레이션과 볼록도를 도입하는 모티베이션(motivation)은 수익률 변화(dy)에 따른 채권 가격 변화율(dB/B)를 다음과 같이 써보려는 것에 있다(D: 듀레이션, C: 볼록도).

이를 위해 채권가격 B의 증분인 dB를 테일러 전개하고...

그리고 변화'율'로 바꾸기 위해서 양번에 B를 나눠주면이걸 바꾸면 이렇게 된다.. 이제 한 줄만 더 쓰면 된다..

위의 제일 처음 식으로부터 듀레이션(D)과 볼록도(C)는 다음과 같이 표시 됨을 얻는다.

1. 듀레이션(duration)의 직관적 의미
듀레이션은 직관적으로 '원금을 회수하는 데 걸리는 시간' 정도로 볼 수 있다. 만기 1년짜리 채권을 사면 이자를 1년 받다 보면 원금을 상환 받는다. 그래서 단기채는 듀레이션이 짧다. 반대로 만기 100년짜리 채권을 사면 만기의 길이때문에 액면가 대비 할인율이 엄청날 것이고, 그때문에 이자만 받아도 20년 ~30년 후면 액면가 수준에 가까운(쿠폰+만기가 다가옴에 따른 할인율 축소) 현금흐름이 생긴다. 그럼에도 불구하고 제일 큰 돈덩어리인 액면금을 받는 날이 너무 멀기 때문에 장기채는 듀레이션이 길다.
보통 짧은 듀레이션을 가진 자산은 현 가치 대비 저렴한 자산들이 포함되고, 긴 듀레이션을 가진 자산은 현 가치 대비 비싼 자산들이 포함된다. 주식으로 치면 전자는 가치주, 후자는 성장주에 해당한다. 2020년 말인가 2021년 초에 레이달리오가 했던 "시장의 선호가 듀레이션이 극단적으로 긴 자산들로 이동하고 있다."는 말의 맥락이 여기에 있다. 테슬라 열풍의 사례를 봐도 알 수 있겠지만, 지금 돈을 잽싸게 잘 버는 회사들보다는 폭발적으로 성장(할 수만 있다면)하고 미래에 더 많은 돈을 돌려(줄 것으로 기대되는)줄 회사들을 현재 장부에서 확인할 수 있는 가치 대비 아주 높은 가격을 주고 사는 투자스타일이 주류가 됐다는 뜻인 것이다.
2. 볼록도(convexity)의 직관적 의미
볼록도는 듀레이션만으로는 수익률 변화에 따른 손익(Profit and Loss, PnL)을 충분히 (근사로)계산할 수 없기 때문에 등장하는 개념이다. 가격 계산 식에서 볼 수 있듯이 손익은 채권의 수익률(yield)에 대한 선형함수가 아니기 때문에 1차항에 해당하는 듀레이션만으로는 수익률 변화에 따른 가격 변화 위험을 충분히 계산할 수 없다. 수익률이 가격 변화에 미치는 비선형적 효과를 2차함수로 근사하는 개념이 볼록도이고, 손익을 근사할 때 이를 덧셈항으로 포함시키는 것을 convexity adjustment라고 한다.
위의 할인현금 가치 계산공식을 토대로 설명하면 볼록도는 테일러 근사 식에서 2차항에 상응하는 역할을 한다고 할 수 있다. 직관적인 의미는 (1) '수익률 덧셈/뺄셈(예: 일드커브가 0.1% 상승하면 기존의 채권보유자는 근사적으로 0.1% 손실을 입는다)으로 설명할 수 없는 것이 얼마나 되느냐' 내지는 (2) '이 채권은 단기적인 변동과 장기적인 변동, 혹은 수익률 변화의 크기에 따라 가격 변화의 양상이 얼마나 다른가(예: 일드커브가 5% 상승했을 때는 채권보유자의 손실을 단순히 5%라고 근사할 수는 없다)'를 나타내는 항이라고 생각하면 된다.
3. 결론
금융시장에서 '위험'이라는 단어는 매우 폭넓은 정의를 갖는다. 하지만 학계나 산업에서 일반적으로 통용되는 의미는 '불리한 방향으로 가격이 변동할 확률과, & 변동폭'정도라고 생각하면 편하다. 즉, 변동성(volatility)가 위험의 일반적인 척도다. 이것과 위에서 정리한 내용을 결합하면, (1) 듀레이션이 클수록 수익률 곡선이 약간 움직이는 것에 대해서 가격의 움직임이 더 크다. (2) 수익률 곡선의 변화에 따른 가격 변동 위험은 볼록도가 높을수록 예상하기 힘들다(=듀레이션에 대한 선형성 가정한 계산결과의 실제값과의 오차가 커진다). 따라서 듀레이션이나 볼록도가 클수록 위험이 크다.
'투자리뷰' 카테고리의 다른 글
| 금지어지만 하고싶은 한마디 (0) | 2021.10.27 |
|---|---|
| 옵션 에피소드-(2). 파생상품의 시대, ELW 광풍 (0) | 2021.08.24 |
| 법인세 동맹이 (너무나) 위험한 발상인 이유 (0) | 2021.07.29 |
| 인플레이션이 일시적이지 않을 거라고 생각하는 이유 (0) | 2021.07.20 |
| 수익률 곡선(Yield Curve), YCC(Yield Curve Control) (0) | 2021.05.14 |
댓글