
아비트리지(Arbitrage, 차익거래)
아비트리지는 자본손실 리스크가 거의 0이고 확정적으로 예상되는 수익이 있는 거래를 의미한다. 이를테면 내가 절판된 투자서 y를 15만 원에 사고자 하는 사람(수요자)을 알고, 그와 동시에 y를 10만원에 팔고자(공급자) 하는 사람이 있음을 안다고 가정하자. 그러면 나는 당장 이를 파는 사람에게 가서 공급자에게 10만원을 주고 책을 사서 15만 원에 수요자에게 팔 것이다. 그러면 이 아비트리지를 통해 내가 올릴 수익은 아래와 같다.15-10 = 5 (사실 책 사고 파는 데 드는 차비도 빼야한다.)
이런 종류의 거래는 누구나가 하고싶은 매우 멋진 거래일 것이다. 위험없는 수익은 우리가 매우 사랑하는 것이 아니던가. 개별적으로 아비트리지 기회(arbitrage chance)는 종종 나타나지만, 대부분의 경우에 아비트리지 트레이더들이 이를 통해 이익을 얻고 금방 사라진다. 그리고 그 과정에서 가격차이는 좁혀지고 상품들의 가격은 시장가격으로 수렴한다. 만약 시장가격으로 수렴할거라는 전제가 없으면 아비트리지 자체가 성립하지 않을 것이다.

아비트리지 기회는 크게 두 가지 이유로 발생한다. 첫째, 정보비대칭이다. 위에서 언급한 절판된 중고책 아비트리지 기회는 정보비대칭의 대표적인 사례다. 정보에 접근이 어려운 덜 투명하고 덜 빠른 시장일수록 아비트리지 기회가 많이 생긴다. 지금이야 거래가 전산화 돼있고 0.1초 이하 단위의 엄청난 속도로 거래가 발생하기 때문에 상상하기 쉽지 않지만, 약 50여 년 전의 증시에서는 교환원(주로 여성)들이 누구의 전화를 빨리 받고 브로커에게 연결해주느냐가 매우 중요했다. 유럽과 미국에서 동시에 거래되는, 주로 상품선물(commodity futures, 원자재 정도로 이해해도 좋다)들이 시간차로 인해 양쪽 시장에서 호가가 달랐기 때문이다. 그래서 그 때는 미국과 유럽의 교환원과 다 친한 트레이더는 재빨리 비싼 쪽의 선물을 공매도하고, 싼 쪽의 선물을 매수하여 호가 차이가 해소되는 시점에 양쪽의 거래를 청산(closing out)해서 돈을 벌 수 있었다. 그래서 <교환원 아가씨, 오늘의 호가는 얼마인가요?>라는 제목의 유행가도 있었다나 뭐라나...

아비트리지 기회가 발생하는 다른 이유는 둘째, 시장 플레이어들의 비이성적 행동이다. 때때로 이해할 수 없는 이유나 별 다른 이유가 없이 동일하거나 유사한 증권의 가격이 크게 차이나는 경우가 있다. 예를 들면 의결권이 있는 주식과 없는 주식의 가격이 별다른 이유 없이 20%~30% 나는 경우가 있을 수 있다, 아무리 의결권이 중요하다고 해도 이는 차이가 너무 크다. 심지어 어떤 경우에는 의결권 없는 주식이 더 비싼 경우도 생긴다. 그러면 (당연히)가격이 높은 쪽을 공매도하고 가격이 낮은 쪽을 매수하여 호가갭이 해되기를 기다렸다가 차익을 남길 수 있다. 당연히 이런 종류의 기회는 시장의 투기적 분위기가 무르익어 소위 '묻지마 투자'가 성행할 때 거의 동일한 상품의 수요가 불균등하게 한쪽으로 쏠리면서 많이 발생한다.
아비트리지는 매우 낮은 위험 노출로 비교적 단기간에 수익을 낼 수 있기 때문에 대단히 매력적이지만 공매도에 들어가는 비용은 일반적인 매수의 그것보다 꽤 크기때문에 기대수익에서 예상되는 비용을 무시할 수 없다. 가령, 선물(futures)를 이용하는 아비트리지의 경우 호가 차이가 예상보다 오래 지속되면 롤오버(Roll-Over, 만기 연장) 비용을 내고 나면 남는 게 없거나 손실을 낼 수도 있다.
위에서 언급한 내용 외에도 물가 상승기에 물가연동채를 매수하고 국채 장기물을 매도하거나, 선물이 콘탱고/백워데이션 갭이 커졌을 때 선물-현물간 호가차이를 이용한 아비트리지 전략 등이 주로 알려져 있으며 지금도 종종 나타나는 기회들이다. 다만 개인투자자의 자금규모로 실행하기에는 비용이 좀 높다는게 진입장벽으로 작용한다.
노벨상
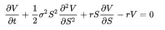
20세기의 후반세기에는 응용수학의 각 분야들이 급속도로 전문화되고 새로운 주제들이 발생하거나 큰 진전을 이루었다. 그 중 하나가 금융상품의 공정한(=아비트리지 기회가 발생하지 않는) 가격을 결정하는 방법을 찾는 것이었다. 그리고 1973년에 역사적으로 중요하고, 동시에 지금도 유용하게 쓰이는 편미분 방정식인 블랙-숄즈 방정식(Blacn-Scholes Equation)이 세상으로 나오게 된다.

블랙-숄즈 방정식의 직접적인 용도는 유럽형 옵션(European Option)의 가격을 결정하는 것이다. 복잡한 수식 얘기는 이쯤 하고, 이 방정식으로 역사에 이름을 남긴 사람들의 이야기를 이어보겠다.
*유럽형 옵션은 만기일에만 행사가 가능한 옵션을 의미한다. 미국형 옵션은 만기일이 아닐 때도 행사가 가능하기 때문에 행사권리 프리미엄이 더 높아 가격이 더 비싸게 책정된다.
이 방정식에 대한 공헌으로 1997년 세 사람이 노벨상을 받을 뻔 했지만, 안타깝게도 피셔 블랙(Fischer Black)은 1995년에 고인이 되었기 때문에 수상하지 못했고, 후발주자로 참여하여 저당물이나 보험의 가격 등에 대해 적용할 수 있도록 방정식을 더 일반화 시킨 로버트 머튼(Rober C. Merton)이 마이런 숄즈(Myron S. Scholes)와 함께 노벨상을 수상했다.

이 방정식이 발표된 후 옵션이나 선물같은 만기 권리 행사형 파생상품(주식, 채권 등 기초자산의 가격 변동에 따라 수익/손실이 나는 권리를 거래하는 상품)에 대한 시장이 폭발적으로 활성화되었고, 덕분에 블랙과 숄스가 교수로 있던 시카고 대학 인근에 있는 선물거래소(Chicago Mercantile Exchange)도 크게 번창하게 되었다.
여담이지만, 이 방정식은 옵션 가격의 움직임을 브라운 운동(Brownian Motion, 모든 점에서 연속이지면서 동시에 미분이 불가능한 함수의 가장 잘 알려진 예시, 해석학에 대한 이해가 있다면 자산 가격이 왜 이런 황당한 object여야 하는 지도 어렴풋이 알수 있다.)으로 가정하기 때문에 이를 최초로 수식화 했던 알베르트 아인슈타인(Albert Einstein)도 어느 정도의 지분이 있다고 할 수 있다.
LTCM (Long Term Capital Management)
지금은 거의 잊혀진 존 메리웨더(John Meriwether)라는 야심 찬 채권 트레이더가 있었다. 그는 시카고 대학에서 MBA를 마치고 살로먼 브라더스(Salomon Brothers)에 입사 후 얼마되지 않아 천만 달러짜리 차익거래를 성공시킴으로써 일약 스타가 되었고, 1988년에는 살로먼 브라더스의 부회장 자리에 오르게 된다.
1991년에 살로먼 브라더스는 국채 불법매입 스캔들에 휘말렸다. 한때 메리웨더의 라이벌이었던 굿프렌즈도 이에 연루되어 이사직을 잃게 된다. 워런 버핏은 당시 살로먼 브라더스의 대주주였기 때문에 비상이사직을 맡아 의회에 출석하는 등 사태를 수습하는 역할을 맡았다(사태 수습 후 버핏은 살로먼 브라더스의 지분을 매각했다). 의외로(?) 메리웨더는 부정에 가담하지 않았고, 오히려 부정을 알리려고 하였던 사실이 있었기 때문에 버핏은 그런 그를 곁에 두려고 하였으나, 메리웨더는 이참에 자신의 사모펀드를 만들 결심을 하고 버핏의 제안을 거절한다.
메리웨더는 1993년에 자신이 일하면서 쌓은 학계의 인맥을 동원하여 헤지펀드 회사인 LTCM을 차렸다. 그 인맥들 중에는 이미 학계에선 금융의 성배를 찾아낸 대스타들이었던, 얼마 후 블랙-숄즈 방정식으로 노벨상을 받게 될 마이런 숄즈와 로버트 머튼도 포함되어 있었다. 이들은 LTCM의 주요 파트너로 참여했다. 금융의 성배를 찾아낸 노벨상 수상자 두 사람이 포함된 드림팀의 결성이었다.
LTCM의 전략은 다양한 종류의 채권 간의 관계를 이용한 아비트리지였다. 상관관계가 높은 가격 움직임을 갖는 채권들 간에서 일반적이지 않은 움직임(ex. 비정상적인인 스프레드)이 발생하면, 가격이 비싼 쪽을 공매도하고 싼 쪽을 매수해서 가격이 어느정도 메꿔지면 계약을 청산하는 방식이었다. 개별 아비트리지 기회는 수십 %의 거대한 수익률을 제공하지는 않기 때문에, 한 번의 거래마다 많게는 5000% 레버리지를 사용했다.
LTCM은 본격적으로 자금을 모집하고 운용한 첫해(1994)에 20%, 그 다음 해(1995)에 42.8%, 그 다음 해(1996)에 40%의 경이로운 수익을 올렸다. 당시 펀드의 연간 수수료는 투자금의 2%, 수익금의 25%였다. 2-20 룰(투자금의 2%, 수익의 20%를 수수료로 취함)이 국룰로 적용되는 헤지펀드계에서도 이는 상당히 높은 수준이었다. '그 일'이 일어나기 전 LTCM이 운용하던 자금(자본금 + (엄청난)부채)의 규모는 1.25조 달러(!)였다.
소련(Soviet Union), 그 일
소련은 1991년 12월 26일, 크리스마스의 기적처럼 해체를 선언한다. (차르는 이제 사라졌지만)다시 이름을 찾은 러시아는 공산주의로 떡이 돼있던 경제를 살리기 위해 채권을 발행해야 했고, 채권의 구매자들은 러시아의 신규 발행채를 사 주는 조건으로 1922년에 볼셰비키 혁명으로 망해버린 (차르가 통치하던 )제정 러시아의 채권을 일부 상환해줄 것을 요구했다(이후 제정 러시아의 부도채권은 60배나 상승했다). 세계의 은행들은 러시아의 개방을 근거로 투자자들의 돈을 끌어들이는 데 성공했으며, 러시아는 필요한 달러를 빌릴 수 있었다. 여기까지는 좋았다.
하지만 이머징 마켓은 여러 위험이 선진국의 그것에 비해 훨씬 큰 곳이다. 흔히 이머징마켓의 위험은 '에이, 얼마나 더 나빠질 수 있겠어?' 란 말로 간과되기 마련이고, 기대는 '이제부터 시작'이라는 말로 과장되기 마련이다. 하지만 실상은 그 반대로 생각하는 게 맞을 확률이 훨씬 더 높다. 상황은 얼마든지 나빠질 수 있는 법이고, 후진국이 후진국 신세를 면하기 위해서는 여러 차례의 행운이 겹쳐야 한다. 러시아도 예외일 수는 없었다. 러시아 채권에 대한 투자자들의 선호가 점점 높아지면서 그 금리가 낮아(고평가)져 가고 있었다.
https://2ndflight.tistory.com/25
후진국/개도국 투자가 꺼려지는 이유
증권가에는 신조어가 많이 나돈다. 그 중 일부는 아예 생활언어처럼 고착화되기도 한다. 이머징 마켓(Emerging Market)이 그런 단어 중 하나다. 흔히 '개발도상국'이라 불리는 국가들을 주축으로 해
2ndflight.tistory.com
1998년, 고평가가 극에 달했던 러시아의 채권이 가격이 크게 흔들릴 때, LTCM은 러시아의 정부채무(Government Obligation)에 대한 큰 매수포지션을 가지고 있었으며, 상황이 꼬일 때를 대비해서 러시아 루블화를 공매도해서 채권위기 등에 대비해둔 상태였다(채권이 폭락하면 루블도 폭락하고, 루블 공매도가 손실을 만회). 러시아의 채권은 우려한 대로1998년에 모라토리엄(지불유예) 사태를 맞이한다. LTCM 입장에서는, 러시아가 정상적인 국가였다면 예상대로 모든 것이 잘 흘러갈 수도 있었던 셈이다.
문제는 그 다음이었다. LTCM이 루블화는 폭락했으나, LTCM은 루블화 공매도에 대한 수익금을 전혀 챙기지 못했다. 러시아의 은행들이 문을 닫았고, 러시아 정부는 급기야 루블에 대한 통화 거래를 금지(네...?)하기에 이른다. 결국 LTCM은 이 거래에서 모라토리엄이 발생한 채권들에 대한 손실만을 떠안게 되었다. 이것이 LTCM을 위기로 몰아넣었고, 여기서 기인한 또 하나의 사건이 LTCM에게 치명타를 날렸다.
러시아의 모라토리엄으로 자산가격의 변동성이 커지자 투자자들은 소위 '품질(=유동성)이 좋은' 자산을 선호하기 시작했다. 동일한 성격의 증권이라도 유동성이 높은 것들, 특히 미국의 국채가 압도적인 선호를 받았다. 미국의 재무부가 꽤 긴 기간동안 채권의 발행을 축소했기 때문에 미국채의 품귀가 이 'flight to liquidity'(유동성이 높은 자산으로 달아남) 현상을 부채질했다.
유동성 자산, 혹은 안전자산에 대한 선호가 다시 한 번 극에 달하면서 LTCM이 공매도를 걸어놓은 유동성이 높은, 고평가된 채권의 가격은 가파르게 상승했고, 매수를 걸었던 유동성이 낮은, 저평가된 자산의 가격은 폭락했다. 이는 엽기적이라고 밖에는 형용이 안 될 상황이지만, 말이 전혀 되지 않는 것은 또 아니었다. 가격에 관한 한은 어떤 일이든 일어날 수 있는 곳이 증권 시장이므로.
LTCM이 통상적인 채권 펀드의 레버리지로 거래를 수행했다면 앞서 언급한 짜릿한 연 40% 수익률은 없었더라도 이렇게 한 번의 위기로 파산에 몰리지는 않았을 것이다. 이런 말을 들은 적이 있다. "은행 중 돈 못 벌어 망한 은행은 없다. 리스크 관리를 못해서 망한 은행은 한 트럭이다." LTCM은 은행은 아니었지만, 채권을 주종목으로 거래했다는 점에서 이 격언의 또 다른 사례가 되었다.
LTCM이 한방에 갈 수도 있다는걸 경고한 사람도 있었다. 세스 클라만(Seth Klarman)은 LTCM의 50배에 이르는 레버리지가 대단히 위험하기 때문에 예상치 못한 일이 벌어지면 한 번에 벌었던 돈을 다 날릴 수도 있다고 경고했다. 물론 이 경고는 무시되었다. 아마 워런 버핏을 비롯한 저명한 가치투자자 그룹의 사람들도 이를 알고 있었을 것이다.

얼마일 지는 알 수 없지만, 우리가 증시에서 벌어들일 수 있는 장기평균 수익률은 어느정도 제한돼 있다. 그것은 '무위험' 차익거래에서도 예외는 아니다. LTCM의 사례는 그것을 알려준다. 너무 큰, 이를테면 20년간 연 평균 40%같은 수익률을 목표로 하는 것은 투자와는 거리가 멀다.
'투자리뷰' 카테고리의 다른 글
| 저금리 시대, 불가사의한 현상과 그에 관한 "성지글" (2) | 2020.08.21 |
|---|---|
| 스태그플레이션이란? & 그것에 대비하는 방법 (0) | 2020.08.17 |
| 소액으로 건물주가 되는 법, REITs 해부 (0) | 2020.07.18 |
| 지금이 바닥은 아닌 이유 (0) | 2020.07.09 |
| 후진국/개도국 투자가 꺼려지는 이유 (0) | 2020.07.05 |
댓글